Comisión Estatal de Garantía de Acceso a la Información Pública
del Estado de San Luis Potosí

Sujeto Obligadomatehuala slp
Matehuala

Periodo
05 Mayo2019

ObligaciónLa información relativa a los fondos de ayuda federal para la seguridad pública, incluyendo lo siguiente:

Obligación específica.
Licencias de construcción.

A ) Artículo85

B ) FracciónI

C ) IncisoH3


Registro general

Para Consultar el documento
Acceso directo:
LTAIPSLP85IH3.xlsx

Hipervinculo
http://www.cegaipslp.org.mx/webcegaip2019.nsf/nombre_de_la_vista/5238F853A16F225A86258410005AE0D4/$File/LTAIPSLP85IH3.xlsx




Visor de Datos abiertosDatos digitales de caracter público, accesibles en linea, que pueden ser usados, reutilizados y redistribuidos por cualquier interesado. Ver CONAIP/SNT/ACUERDO/EXT13/04/2016-08


Tabla Campos
Ejercicio Fecha de inicio del periodo que se informa Fecha de término del periodo que se informa Denominación y/o tipo de licencia de construcción autorizada Objeto de las Licencias de construcción Nombre de la persona física que solicita la licencia Primer apellido Segundo apellido Denominación de la persona moral que solicita la licencia Tipo de vialidad (catálogo) Nombre de vialidad Número exterior Número interior, en su caso Tipo de asentamiento (catálogo) Nombre del asentamiento Clave de la localidad Nombre de la localidad Clave del municipio o delegación Nombre del municipio o delegación Clave de entidad federativa Nombre de la Entidad Federativa (catálogo) Código postal Hipervínculo a la solicitud de licencia Periodo de vigencia (fecha de inicio) Periodo de vigencia (fecha de término) Especificación de los bienes, servicios y/o recursos que aprovechará Hipervínculo a los documentos Área(s) responsable(s) que genera(n), posee(n), publica(n) y actualizan la información Fecha de validación Fecha de Actualización Nota
2019 01/05/2019 31/05/2019 D.O.P./L.C./389/2019 OBTENER PERMISO DE CONSTRUCCIÓN CARLA YULIANA ROMERO CARDONA N/A CALLE ZINC 105 L 18 M5 FRACCIONAMIENTO EL MINERAL 20 MATEHUALA 20 MATEHUALA 24 San Luis Potosí 78720 "http://www.cegaipslp.org.mx/HV2019Dos.nsf/nombre_de_la_vista/FD34A3F77334021F8625840F006AE969/$File/01CARLA+YULIANA+ROMERO+CARDONA.jpg " 30/04/2019 30/04/2020 HABITACIONAL http://www.cegaipslp.org.mx/HV2019Dos.nsf/nombre_de_la_vista/8BADEC2D1C07296E8625840F0059E8C2/$File/01+CARLA+YULIANA+ROMERO+CARDONA.jpg DIRECCIÓN DE OBRAS PÚBLICAS 05/07/2019 05/06/2019 N/A
2019 01/05/2019 31/05/2019 D.O.P./L.C./391/2019 OBTENER PERMISO DE CONSTRUCCIÓN LETICIA MORALES TORRES N/A CALLE TERAN 505 0 COLONIA CENTRO 20 MATEHUALA 20 MATEHUALA 24 San Luis Potosí 78700 "http://www.cegaipslp.org.mx/HV2019Dos.nsf/nombre_de_la_vista/87B8AB01A24559988625840F006B0D34/$File/02+LETICIA+MORALES+TORRES.jpg " 02/05/2019 05/05/2020 HABITACIONAL http://www.cegaipslp.org.mx/HV2019Dos.nsf/nombre_de_la_vista/CC5376C59471BC388625840F005A295D/$File/02+LETICIA+MORALES+TORRES.jpg DIRECCIÓN DE OBRAS PÚBLICAS 05/07/2019 05/06/2019 N/A
2019 01/05/2019 31/05/2019 D.O.P./L.C./394/2019 OBTENER PERMISO DE CONSTRUCCIÓN MIRIAM MARLLENE JASSO MARTINEZ N/A CALLE GUILLERMO ACEVEDO VILLALOBOS 49 0 COLONIA LUIS N. MORONES 20 MATEHUALA 20 MATEHUALA 24 San Luis Potosí 78730 "http://www.cegaipslp.org.mx/HV2019Dos.nsf/nombre_de_la_vista/BB6A492876C2C8818625840F006B33E9/$File/03+MIRIAM+MARLLENE+JASSO+MARTINEZ.jpg " 03/05/2019 03/05/2020 HABITACIONAL http://www.cegaipslp.org.mx/HV2019Dos.nsf/nombre_de_la_vista/DBE032088B3360468625840F005A7594/$File/03+MIRIAM+MARLLENE+JASSO+MARTINEZ.jpg DIRECCIÓN DE OBRAS PÚBLICAS 05/07/2019 05/06/2019 REPORTE 926
2019 01/05/2019 31/05/2019 D.O.P./L.C./392/2019 OBTENER PERMISO DE CONSTRUCCIÓN ROSA ELIA BARAJAS JUAREZ N/A CALLE SAN ROBERTO 403 0 COLONIA EL PINEÑO 20 MATEHUALA 20 MATEHUALA 24 San Luis Potosí 78730 "http://www.cegaipslp.org.mx/HV2019Dos.nsf/nombre_de_la_vista/741E414282FE49D48625840F006B50AD/$File/04+ROSA+ELIA+BARAJAS+JUAREZ.jpg " 03/05/2019 03/05/2020 HABITACIONAL http://www.cegaipslp.org.mx/HV2019Dos.nsf/nombre_de_la_vista/BB7B92AFCA17B9B28625840F005A8CDD/$File/04+ROSA+ELIA+BARAJAS+JUAREZ.jpg DIRECCIÓN DE OBRAS PÚBLICAS 05/07/2019 05/06/2019 N/A
2019 01/05/2019 31/05/2019 D.O.P./L.C./393/2019 OBTENER PERMISO DE CONSTRUCCIÓN MANUEL MARTINEZ SALAS N/A CALLE MANUEL ESPERON 817 0 COLONIA SAN JOSE 20 MATEHUALA 20 MATEHUALA 24 San Luis Potosí 78783 "http://www.cegaipslp.org.mx/HV2019Dos.nsf/nombre_de_la_vista/D51EE023EE57DE4A8625840F006B6CB3/$File/05+MANUEL+MARTINEZ+SALAS.jpg " 03/05/2019 03/05/2020 HABITACIONAL http://www.cegaipslp.org.mx/HV2019Dos.nsf/nombre_de_la_vista/93C8A4AE10941E178625840F005B0E6A/$File/05+MANUEL+MARTINEZ+SALAS.jpg DIRECCIÓN DE OBRAS PÚBLICAS 05/07/2019 05/06/2019 N/A
2019 01/05/2019 31/05/2019 D.O.P./L.C./401/2019 OBTENER PERMISO DE CONSTRUCCIÓN MARIA YSABEL MEDINA NAVA N/A CALLE CARRETERA A LA PAZ KM. 2.5 0 COLONIA S/N 20 MATEHUALA 20 MATEHUALA 24 San Luis Potosí 78724 "http://www.cegaipslp.org.mx/HV2019Dos.nsf/nombre_de_la_vista/54F9F5DA1E3EAEB68625840F006B963D/$File/06+MARIA+YSABEL+MEDINA+NAVA.jpg " 07/05/2019 07/05/2020 HABITACIONAL http://www.cegaipslp.org.mx/HV2019Dos.nsf/nombre_de_la_vista/B68176395447022E8625840F005B1F29/$File/06+MARIA+YSABEL+MEDINA+NAVA.jpg DIRECCIÓN DE OBRAS PÚBLICAS 05/07/2019 05/06/2019 N/A
2019 01/05/2019 31/05/2019 D.O.P./L.C./403/2019 OBTENER PERMISO DE CONSTRUCCIÓN YAZMIN MARGARITA SANCHEZ BARRON N/A CALLE HIDALGO 1902 0 COLONIA REPUBLICA 20 MATEHUALA 20 MATEHUALA 24 San Luis Potosí 78740 "http://www.cegaipslp.org.mx/HV2019Dos.nsf/nombre_de_la_vista/BF644C69D1701ED28625840F006BA76F/$File/07+YAZMIN+MARGARITA+SANCHEZ+BARRON.jpg " 07/05/2019 07/05/2020 HABITACIONAL http://www.cegaipslp.org.mx/HV2019Dos.nsf/nombre_de_la_vista/D4D89560422E92898625840F005CA523/$File/07+YAZMIN+MARGARITA+SANCHEZ+BARRON.jpg DIRECCIÓN DE OBRAS PÚBLICAS 05/07/2019 05/06/2019 N/A
2019 01/05/2019 31/05/2019 D.O.P./L.C./402/2019 OBTENER PERMISO DE CONSTRUCCIÓN GEORGINA BANDA CARDENAS N/A CALLE ZENIT 103 0 COLONIA FRACC. FLORIDA 20 MATEHUALA 20 MATEHUALA 24 San Luis Potosí 78725 "http://www.cegaipslp.org.mx/HV2019Dos.nsf/nombre_de_la_vista/DFF6ACB8EA2FF6828625840F006BD225/$File/08+GEORGINA+BANDA+CARDENAS.jpg " 07/05/2019 07/02/2020 HABITACIONAL http://www.cegaipslp.org.mx/HV2019Dos.nsf/nombre_de_la_vista/60411750D1ECE20D8625840F005D021C/$File/08+GEORGINA+BANDA+CARDENAS.jpg DIRECCIÓN DE OBRAS PÚBLICAS 05/07/2019 05/06/2019 N/A
2019 01/05/2019 31/05/2019 D.O.P./L.C./400/2019 OBTENER PERMISO DE CONSTRUCCIÓN SILVIA GALLEGOS CASTILLO N/A CALLE HEROES POTOSINOS 903 0 COLONIA CENTRO 20 MATEHUALA 20 MATEHUALA 24 San Luis Potosí 78700 http://www.cegaipslp.org.mx/HV2019Dos.nsf/nombre_de_la_vista/D1F8D98BB1071CC48625840F006C7389/$File/09+SILVIA+GALLEGOS+CASTILLO.jpg 06/05/2019 06/05/2020 HABITACIONAL "http://www.cegaipslp.org.mx/HV2019Dos.nsf/nombre_de_la_vista/160A87702479B20E8625841000595D06/$File/09+SILVIA+GALLEGOS+CASTILLO.jpg
" DIRECCIÓN DE OBRAS PÚBLICAS 05/07/2019 05/06/2019 N/A
2019 01/05/2019 31/05/2019 D.O.P./L.C./398/2019 OBTENER PERMISO DE CONSTRUCCIÓN ALEJANDRA RODRIGUEZ GOVEA N/A CALLE SAN RAMON 326 0 COLONIA GUADALUPE 20 MATEHUALA 20 MATEHUALA 24 San Luis Potosí 78786 "http://www.cegaipslp.org.mx/HV2019Dos.nsf/nombre_de_la_vista/208197634180D2868625841000523015/$File/10+ALEJANDRA+RODRIGUEZ+GOVEA.jpg " 06/05/2019 06/05/2020 HABITACIONAL "http://www.cegaipslp.org.mx/HV2019Dos.nsf/nombre_de_la_vista/278563704712ED22862584100059770E/$File/10+ALEJANDRA+RODRIGUEZ+GOVEA.jpg " DIRECCIÓN DE OBRAS PÚBLICAS 05/07/2019 05/06/2019 N/A
2019 01/05/2019 31/05/2019 D.O.P./L.C./404/2019 OBTENER PERMISO DE CONSTRUCCIÓN MAURO HERNANDEZ GARCIA N/A CALLE SAN ANTONIO 610 0 COLONIA LA CONCEPCION 20 MATEHUALA 20 MATEHUALA 24 San Luis Potosí 78798 http://www.cegaipslp.org.mx/HV2019Dos.nsf/nombre_de_la_vista/62BBA5F5486F38E2862584100053734C/$File/11+MAURO+HERNANDEZ+GARCIA.jpg 08/05/2019 08/05/2020 HABITACIONAL "http://www.cegaipslp.org.mx/HV2019Dos.nsf/nombre_de_la_vista/1C914F12CC04C7F9862584100059C5A1/$File/11+MAURO+HERNANDEZ+GARCIA.jpg " DIRECCIÓN DE OBRAS PÚBLICAS 05/07/2019 05/06/2019 N/A
2019 01/05/2019 31/05/2019 D.O.P./L.C./406/2019 OBTENER PERMISO DE CONSTRUCCIÓN CRISPIN MORENO MEDELLIN N/A CALLE ABASOLO 101 A COLONIA CENTRO 20 MATEHUALA 20 MATEHUALA 24 San Luis Potosí 78700 "http://www.cegaipslp.org.mx/HV2019Dos.nsf/nombre_de_la_vista/34D26BE59D9762B48625841000538A00/$File/12+CRISPIN+MORENO+MEDELLIN.jpg " 09/05/2019 09/05/2020 HABITACIONAL "http://www.cegaipslp.org.mx/HV2019Dos.nsf/nombre_de_la_vista/0A27DBEB14D40083862584100059DD85/$File/12+CRISPIN+MORENO+MEDELLIN.jpg " DIRECCIÓN DE OBRAS PÚBLICAS 05/07/2019 05/06/2019 N/A
2019 01/05/2019 31/05/2019 D.O.P./L.C./406/2019 OBTENER PERMISO DE CONSTRUCCIÓN FABIOLA GALLEGOS ESPINOZA N/A CALLE LEJIONARIOS 167 0 COLONIA LA PROVIDENCIA 20 MATEHUALA 20 MATEHUALA 24 San Luis Potosí 78796 "http://www.cegaipslp.org.mx/HV2019Dos.nsf/nombre_de_la_vista/CC7234FA6E2A2E87862584100053C6DA/$File/13+FABIOLA+GALLEGOS+ESPINOZA.jpg " 14/05/2019 14/05/2020 HABITACIONAL http://www.cegaipslp.org.mx/HV2019Dos.nsf/nombre_de_la_vista/A2843A78B26742A38625840F005E0DEC/$File/13+FABIOLA+GALLEGOS+ESPINOZA.jpg DIRECCIÓN DE OBRAS PÚBLICAS 05/07/2019 05/06/2019 NO HABIA RECIBOS
2019 01/05/2019 31/05/2019 D.O.P./L.C./410/2019 OBTENER PERMISO DE CONSTRUCCIÓN FRANCISCA BOCANEGRA ROSALES N/A CALLE RIO NAZAS 207 0 COLONIA LAS CUMBRES 20 MATEHUALA 20 MATEHUALA 24 San Luis Potosí 78759 "http://www.cegaipslp.org.mx/HV2019Dos.nsf/nombre_de_la_vista/5EC04F07D600658E862584100053DF56/$File/14+FRANCISCA+BOCANEGRA+ROSALES.jpg " 14/05/2019 14/05/2020 HABITACIONAL http://www.cegaipslp.org.mx/HV2019Dos.nsf/nombre_de_la_vista/CFC385956CC505188625840F005E2344/$File/14+FRANCISCA+BOCANEGRA+ROSALES.jpg DIRECCIÓN DE OBRAS PÚBLICAS 05/07/2019 05/06/2019 REPORTE 927
2019 01/05/2019 31/05/2019 D.O.P./L.C./411/2019 OBTENER PERMISO DE CONSTRUCCIÓN MARIA INOCENCIA MARTINEZ GUZMAN N/A CALLE HIDALGO 208 NTE COLONIA CENTRO 20 MATEHUALA 20 MATEHUALA 24 San Luis Potosí 78700 "http://www.cegaipslp.org.mx/HV2019Dos.nsf/nombre_de_la_vista/9C116D74B2DEB6E4862584100053F382/$File/15+MARIA+INOCENCIA+MARTINEZ+GUZMAN.jpg " 15/05/2019 15/05/2020 HABITACIONAL http://www.cegaipslp.org.mx/HV2019Dos.nsf/nombre_de_la_vista/F89AD461AC58B09F8625840F005E340A/$File/15+MARIA+INOCENCIA+MARTINEZ+GUZMAN.jpg DIRECCIÓN DE OBRAS PÚBLICAS 05/07/2019 05/06/2019 N/A
2019 01/05/2019 31/05/2019 D.O.P./L.C./407/2019 OBTENER PERMISO DE CONSTRUCCIÓN RODOLFO GONZALEZ MEDINA N/A CALLE MONTERREY 316 0 COLONIA EL PINEÑO 20 MATEHUALA 20 MATEHUALA 24 San Luis Potosí 78730 "http://www.cegaipslp.org.mx/HV2019Dos.nsf/nombre_de_la_vista/E7E2313759049B0786258410005405A5/$File/16+RODOLFO+GONZALEZ+MEDINA.jpg " 13/05/2019 13/05/2020 HABITACIONAL ttp://www.cegaipslp.org.mx/HV2019Dos.nsf/nombre_de_la_vista/63237B1926569A468625840F005E4289/$File/16+RODOLFO+GONZALEZ+MEDINA.jpg DIRECCIÓN DE OBRAS PÚBLICAS 05/07/2019 05/06/2019 N/A
2019 01/05/2019 31/05/2019 D.O.P./L.C./409/2019 OBTENER PERMISO DE CONSTRUCCIÓN GAVRIELA ZUÑIGA PATLAN N/A CALLE SAN DIEGO 102 0 COLONIA LA AVIACION 20 MATEHUALA 20 MATEHUALA 24 San Luis Potosí 78746 "http://www.cegaipslp.org.mx/HV2019Dos.nsf/nombre_de_la_vista/DFADFF96E6FE8E728625841000542508/$File/17+GAVRIELA+ZUÑIGA+PATLAN.jpg " 14/05/2019 14/05/2020 HABITACIONAL http://www.cegaipslp.org.mx/HV2019Dos.nsf/nombre_de_la_vista/529C74AC2AC3D9398625840F005E5E0B/$File/17+GAVRIELA+ZUÑIGA+PATLAN.jpg DIRECCIÓN DE OBRAS PÚBLICAS 05/07/2019 05/06/2019 N/A
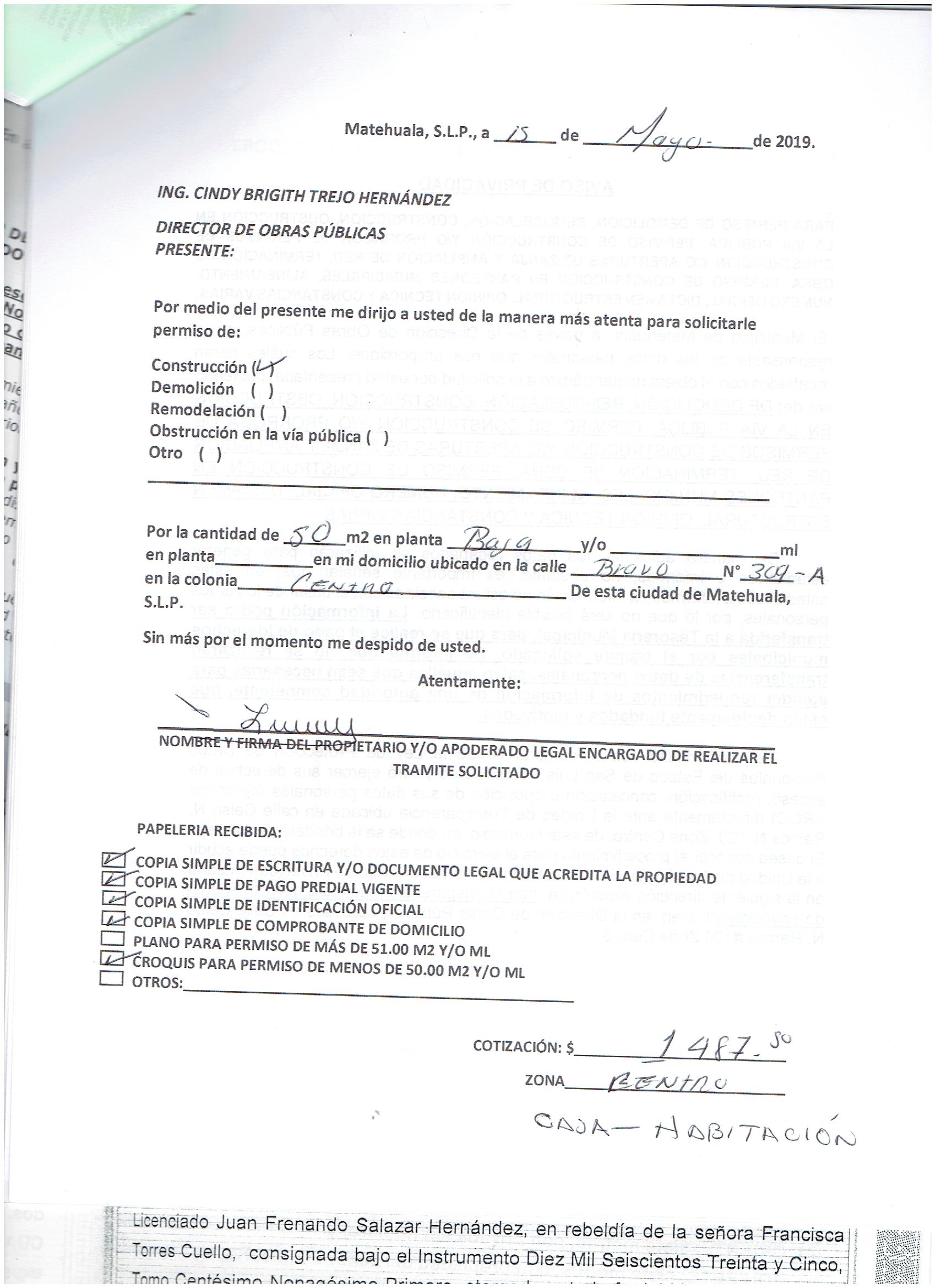
2019 01/05/2019 31/05/2019 D.O.P./L.C./412/2019 OBTENER PERMISO DE CONSTRUCCIÓN FRANCISCO GARCIA CASTRO N/A CALLE BRAVO 309 A COLONIA CENTRO 20 MATEHUALA 20 MATEHUALA 24 San Luis Potosí 78700 "http://www.cegaipslp.org.mx/HV2019Dos.nsf/nombre_de_la_vista/D734FE0E747C88AC862584100054A250/$File/18+FRANCISCO+GARCIA+CASTRO.jpg " 15/05/2019 15/05/2020 HABITACIONAL http://www.cegaipslp.org.mx/HV2019Dos.nsf/nombre_de_la_vista/A51583D4E310D2E38625840F005EC82C/$File/18+FRANCISCO+GARCIA+CASTRO.jpg DIRECCIÓN DE OBRAS PÚBLICAS 05/07/2019 05/06/2019 N/A
2019 01/05/2019 31/05/2019 D.O.P./L.C./419/2019 OBTENER PERMISO DE CONSTRUCCIÓN FRANCISCO CRUZ HERNANDEZ N/A CALLE VERACRUZ 1211 0 COLONIA REPUBLICA 20 MATEHUALA 20 MATEHUALA 24 San Luis Potosí 78740 "http://www.cegaipslp.org.mx/HV2019Dos.nsf/nombre_de_la_vista/EC351B8CF1591BBB862584100054BEA4/$File/19+FRANCISCO+CRUZ+HERNANDEZ.jpg " 16/05/2019 16/05/2020 HABITACIONAL http://www.cegaipslp.org.mx/HV2019Dos.nsf/nombre_de_la_vista/A47335E9E9AC508B8625840F005ED9E1/$File/19+FRANCISCO+CRUZ+HERNANDEZ.jpg DIRECCIÓN DE OBRAS PÚBLICAS 05/07/2019 05/06/2019 N/A
2019 01/05/2019 31/05/2019 D.O.P./L.C./417/2019 OBTENER PERMISO DE CONSTRUCCIÓN ANGELICA MARIA SANDOVAL PEÑA N/A CALLE PRIV. GUERRERO 111 A COLONIA CENTRO 20 MATEHUALA 20 MATEHUALA 24 San Luis Potosí 78700 http://www.cegaipslp.org.mx/HV2019Dos.nsf/nombre_de_la_vista/308985C09693146C862584100054D73E/$File/20+ANGELICA+MARIA+SANDOVAL+PEÑA.jpg 16/05/2019 16/05/2020 HABITACIONAL http://www.cegaipslp.org.mx/HV2019Dos.nsf/nombre_de_la_vista/6BA3D6A703E926BF8625840F005EE88E/$File/20+ANGELICA+MARIA+SANDOVAL+PEÑA.jpg DIRECCIÓN DE OBRAS PÚBLICAS 05/07/2019 05/06/2019 N/A
2019 01/05/2019 31/05/2019 D.O.P./L.C./416/2019 OBTENER PERMISO DE CONSTRUCCIÓN BERENICE MARTINEZ SUSTAITA N/A CALLE INDEPENDENCIA 605 NTE COLONIA LA FORESTAL 20 MATEHUALA 20 MATEHUALA 24 San Luis Potosí 78730 "http://www.cegaipslp.org.mx/HV2019Dos.nsf/nombre_de_la_vista/C21FF551575ECDE78625841000561558/$File/21+BERENICE+MARTINEZ+SUSTAITA.jpg " 16/05/2019 16/05/2020 HABITACIONAL http://www.cegaipslp.org.mx/HV2019Dos.nsf/nombre_de_la_vista/56642DF5238B52B68625840F005EF751/$File/21+BERENICE+MARTINEZ+SUSTAITA.jpg DIRECCIÓN DE OBRAS PÚBLICAS 05/07/2019 05/06/2019 N/A
2019 01/05/2019 31/05/2019 D.O.P./L.C./405/2019 OBTENER PERMISO DE CONSTRUCCIÓN CLEMENCIA SANTIAGO RAMIREZ N/A CALLE NICOLAS LOPEZ LOERA 124 0 COLONIA MAGISTERIAL LOS REYES 20 MATEHUALA 20 MATEHUALA 24 San Luis Potosí 78720 "http://www.cegaipslp.org.mx/HV2019Dos.nsf/nombre_de_la_vista/24176A7F49834BFB86258410005633A2/$File/22+CLEMENCIA+SANTIAGO+RAMIREZ.jpg " 09/05/2019 09/05/2020 HABITACIONAL http://www.cegaipslp.org.mx/HV2019Dos.nsf/nombre_de_la_vista/10AF89B2048EEDB88625840F005F0708/$File/22+CLEMENCIA+SANTIAGO+RAMIREZ.jpg DIRECCIÓN DE OBRAS PÚBLICAS 05/07/2019 05/06/2019 N/A
2019 01/05/2019 31/05/2019 D.O.P./L.C./418/2019 OBTENER PERMISO DE CONSTRUCCIÓN EUSEBIO MEDINA TORRES N/A CALLE EUCALIPTOS 601 0 COLONIA OLIVAR DE LAS ANIMAS 20 MATEHUALA 20 MATEHUALA 24 San Luis Potosí 78790 "http://www.cegaipslp.org.mx/HV2019Dos.nsf/nombre_de_la_vista/33ACF3582A31F694862584100056894D/$File/23+EUSEBIO+MEDINA+TORRES.jpg " 16/05/2019 16/05/2020 HABITACIONAL http://www.cegaipslp.org.mx/HV2019Dos.nsf/nombre_de_la_vista/591D2C83D7389A778625840F0060EB8C/$File/23+EUSEBIO+MEDINA+TORRES.jpg DIRECCIÓN DE OBRAS PÚBLICAS 05/07/2019 05/06/2019 N/A
2019 01/05/2019 31/05/2019 D.O.P./L.C./420/2019 OBTENER PERMISO DE CONSTRUCCIÓN FRANCISCO JAVIER COVARRUBIAS BERNAL N/A CALLE INDEPENDENCIA 404 0 COLONIA CENTRO 20 MATEHUALA 20 MATEHUALA 24 San Luis Potosí 78700 "http://www.cegaipslp.org.mx/HV2019Dos.nsf/nombre_de_la_vista/178793935789AD35862584100056B7F6/$File/24+FRANCISCO+JAVIER+COVARRUBIAS+BERNAL.jpg
" 21/05/2019 21/05/2020 HABITACIONAL http://www.cegaipslp.org.mx/HV2019Dos.nsf/nombre_de_la_vista/F1A7A1EAE618A9438625840F0060F7FF/$File/24+FRANCISCO+JAVIER+COVARRUBIAS+BERNAL.jpg DIRECCIÓN DE OBRAS PÚBLICAS 05/07/2019 05/06/2019 N/A
2019 01/05/2019 31/05/2019 D.O.P./L.C./396/2019 OBTENER PERMISO DE CONSTRUCCIÓN LEONARDO MUNIZ MUÑOZ N/A CALLE JUAN DE LA BARRERA 108 0 COLONIA NIÑOS HEROES 20 MATEHUALA 20 MATEHUALA 24 San Luis Potosí 78780 "http://www.cegaipslp.org.mx/HV2019Dos.nsf/nombre_de_la_vista/DD4691DED34DB7CE86258410005702AA/$File/25+LEONARDO+MUÑIZ+MUÑOZ.jpg " 03/05/2019 03/05/2019 HABITACIONAL http://www.cegaipslp.org.mx/HV2019Dos.nsf/nombre_de_la_vista/BD9FE4C1C57DBAD08625840F0061083E/$File/25+LEONARDO+MUÑIZ+MUÑOZ.jpg DIRECCIÓN DE OBRAS PÚBLICAS 05/07/2019 05/06/2019 N/A
2019 01/05/2019 31/05/2019 D.O.P./L.C./421/2019 OBTENER PERMISO DE CONSTRUCCIÓN JOSE LUIS RODRIGUEZ CASTILLO



Bitácora de registro y acuse

Tabla de aplicabilidad5954D87A8ACCFF6F86258410005AA7FBCreado el 06/05/2019 10:32:37 AM
Carátula de registro148FF153C5C20F3086258410005AAAD2Autormatehuala slp
Registro5238F853A16F225A86258410005AE0D4Tipo de documento1 Registro general




La CEGAIP, es un organismo público con autonomía presupuestaria, operativa,
de gestión y de decisión, a la que se encomienda el fomento y la difusión del
derecho de acceso a la información púbica.
Avenida Real de Lomas, 1015, piso 4, torre 2, coloniaLomas 4ª sección, código postal 78216
San Luis Potosí, S.L.P. México
Teléfonos: (444) 825-1020 / 825-6468 / 825-2583 / 825-2584 / 246-3085 / 246-2086
01 800 223 4247